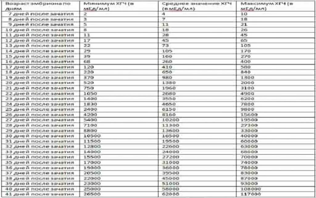
Какой должен быть хгч при эко