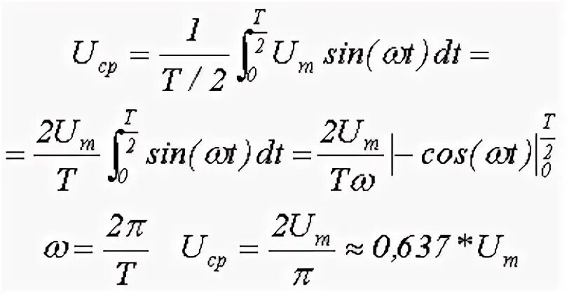
Какова средняя значение напряжения