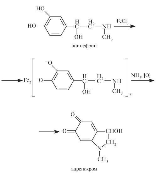
Какому иону аналогичен адреналин