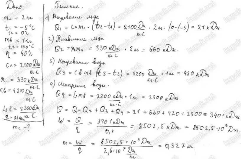
Какое количество спирта надо сжечь чтобы