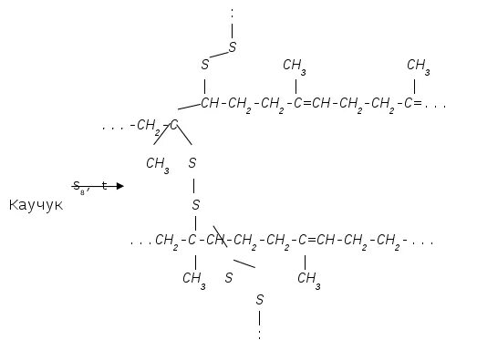
Какие каучуки получают вулканизации