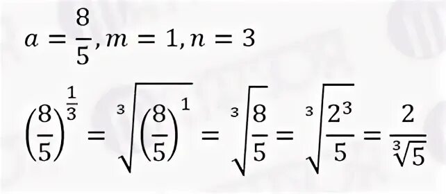
Как возвести число в дробную