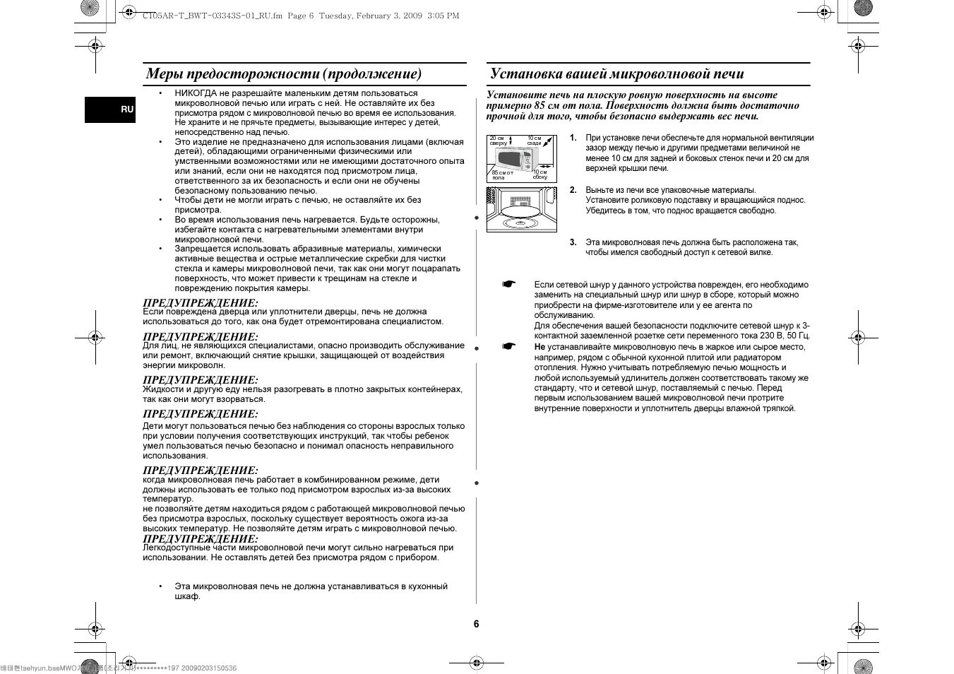
Как включить печь