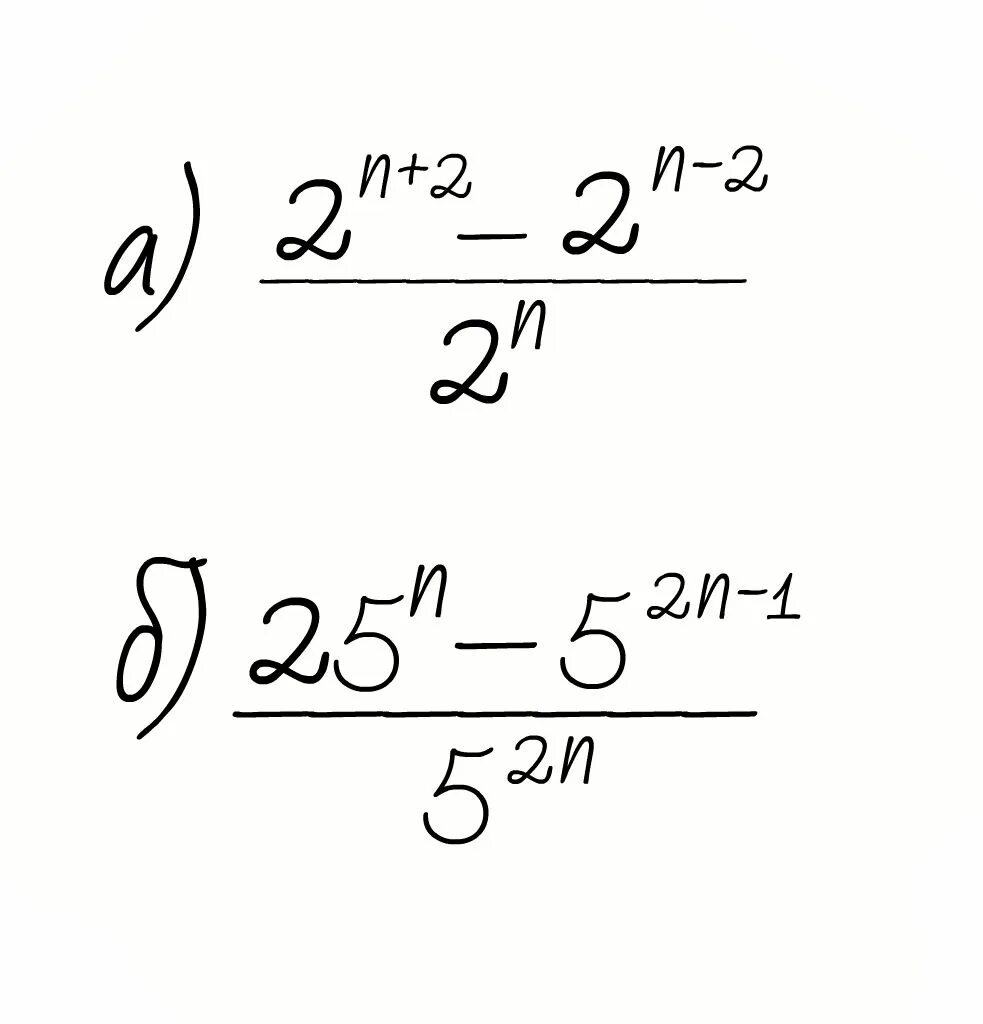
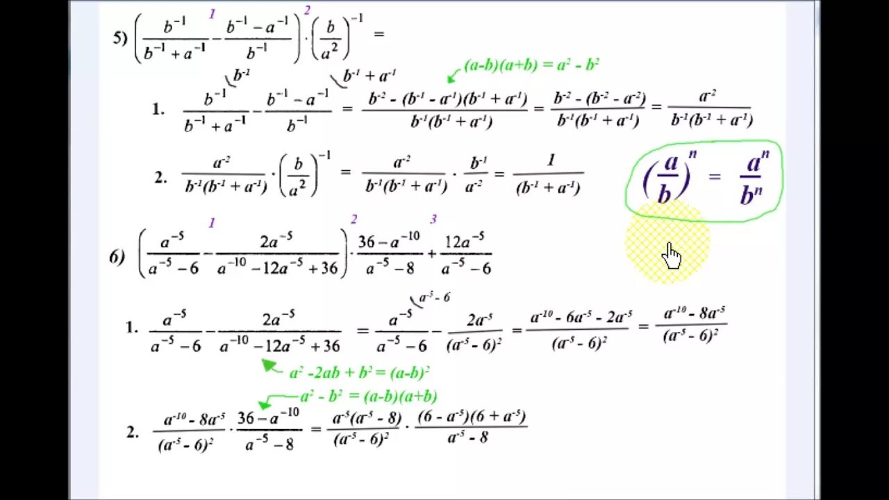
Как упростить дробь со степенями