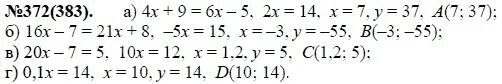
Как сделать задание по алгебре 7 класс