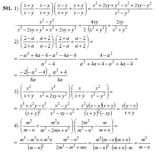
Как решить задание по алгебре 7 класс