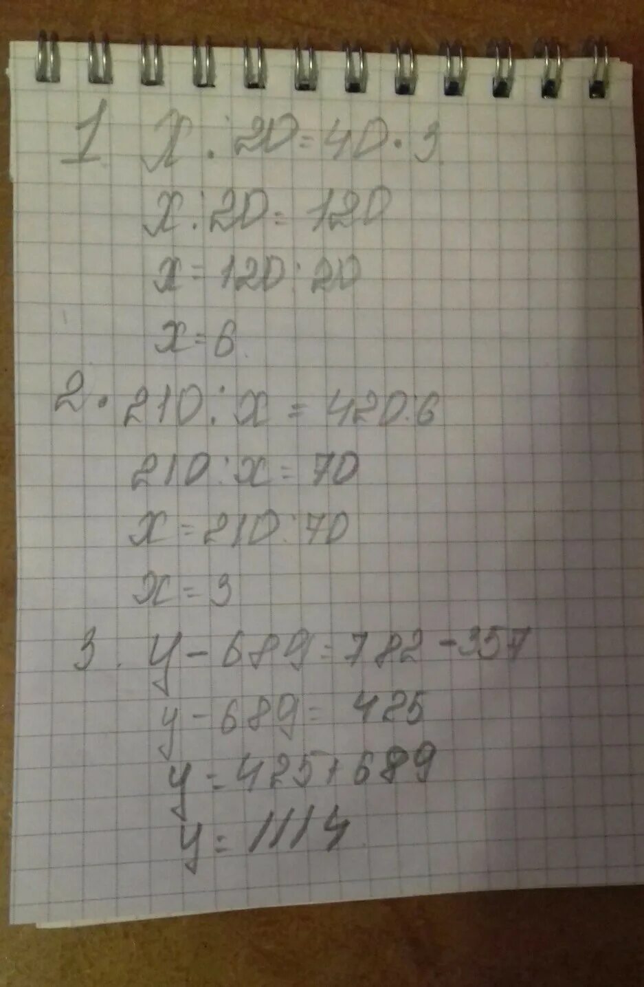
Как решить 6 40