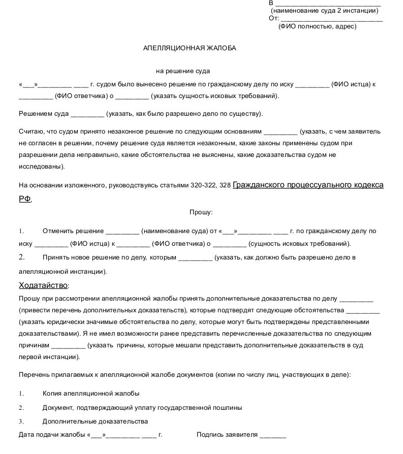
Как получить решение по гражданскому делу