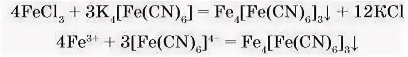
Как получить ферум о аш 3