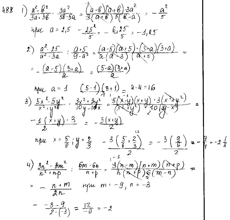
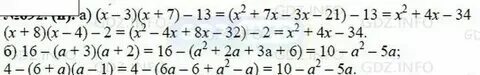
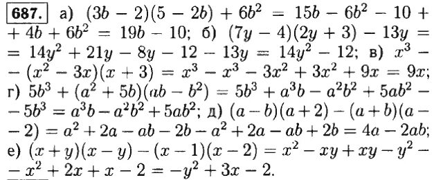
Как подтянуть алгебру 7 класс