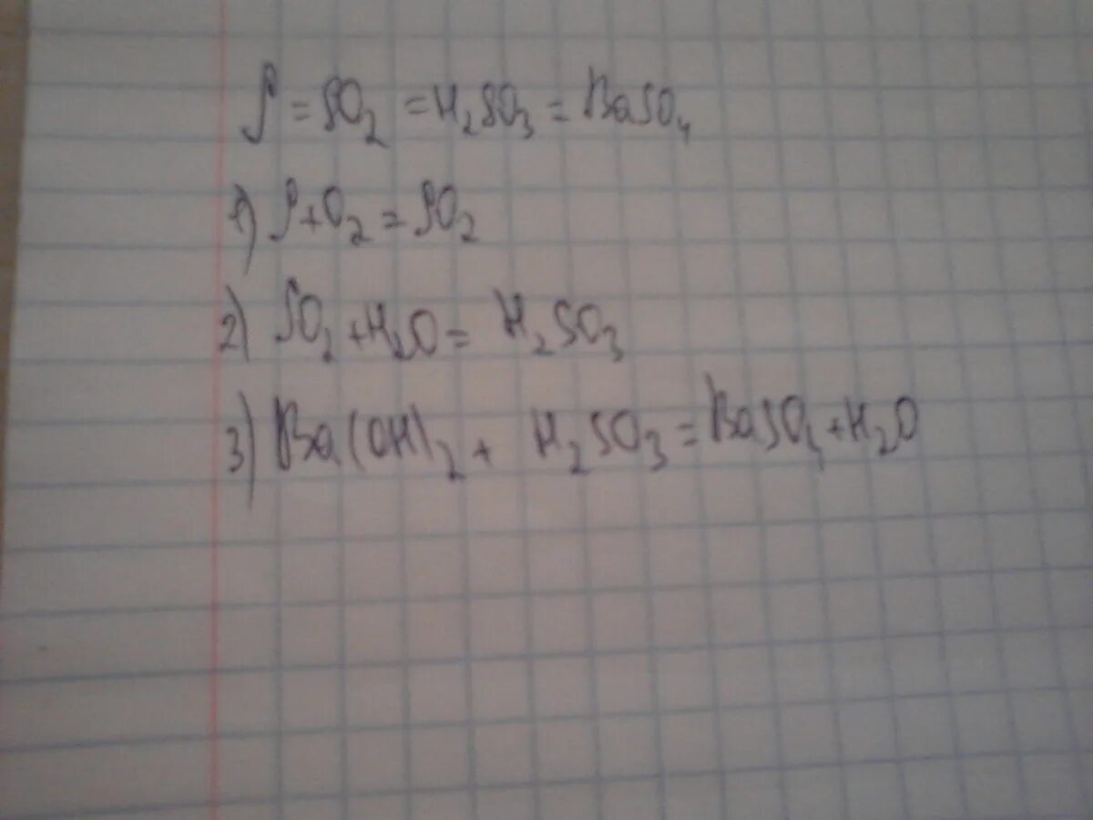
Как осуществить следующие превращения сера оксид серы