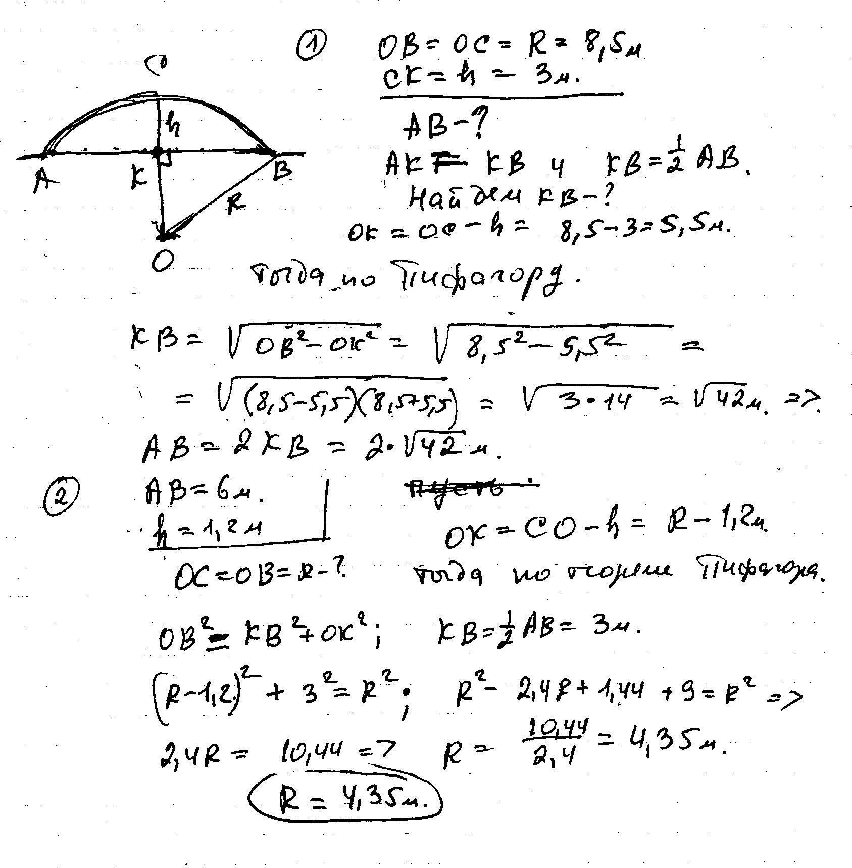
Как определить радиус дуги