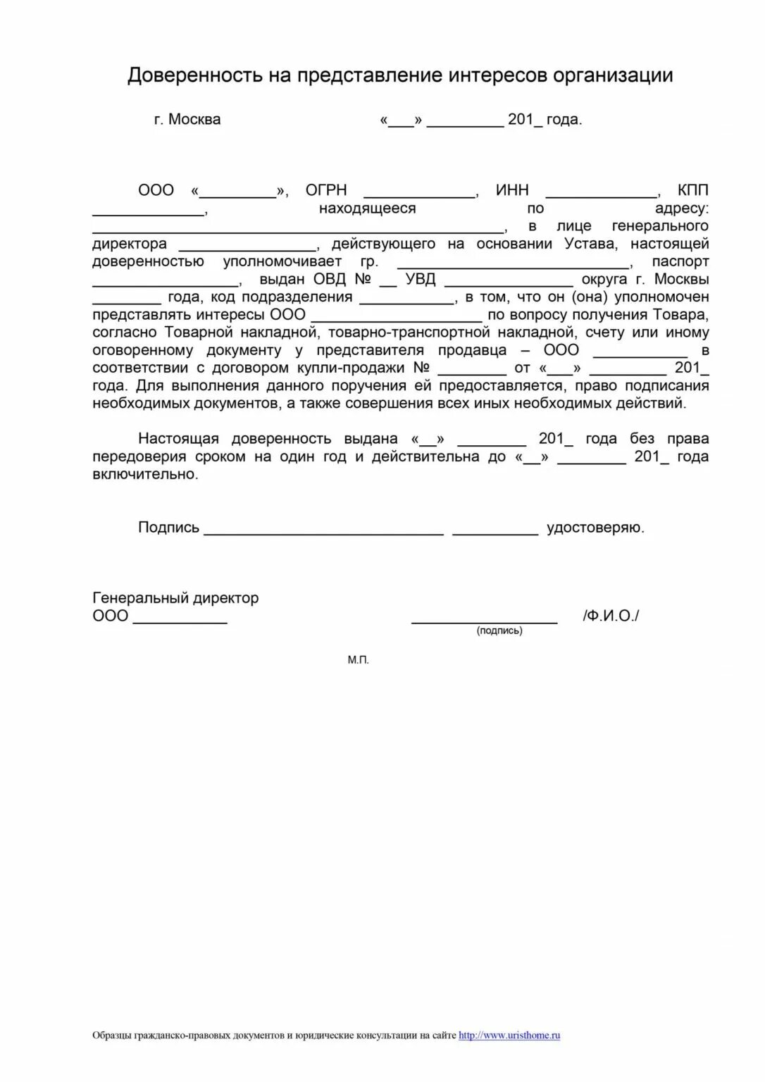
Как оформить представление интересов