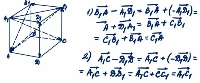
Как найти вектор в кубе