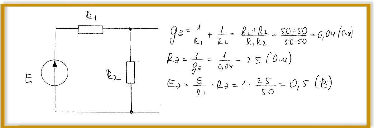
Как найти сопротивление r1