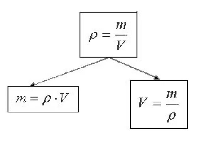
Как найти объем в физике формула