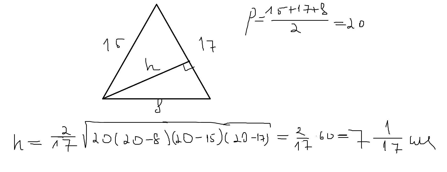
Как найти меньшую высоту