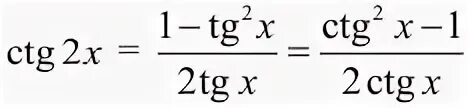
Как найти котангенс формула