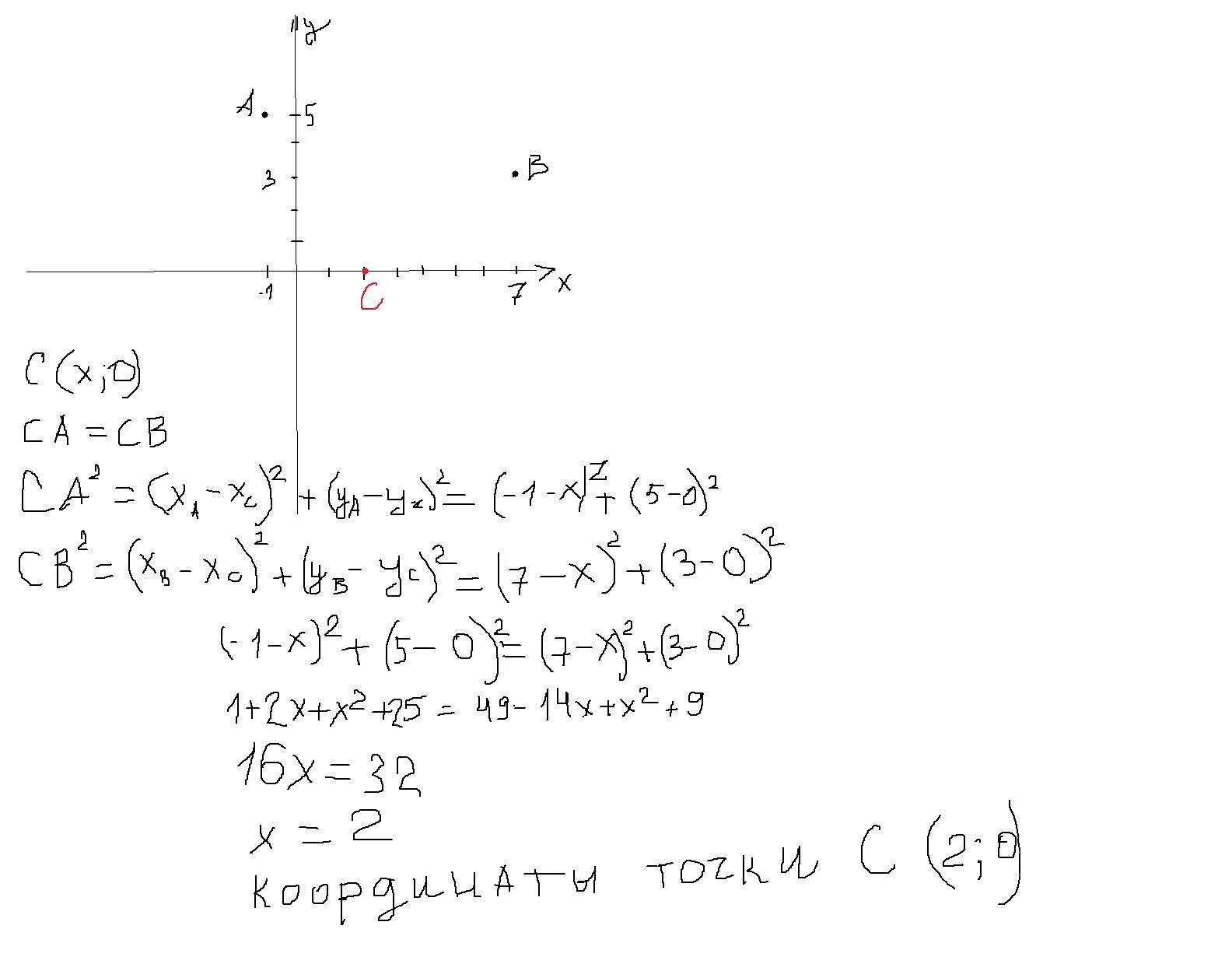
Как найти абсциссу координаты