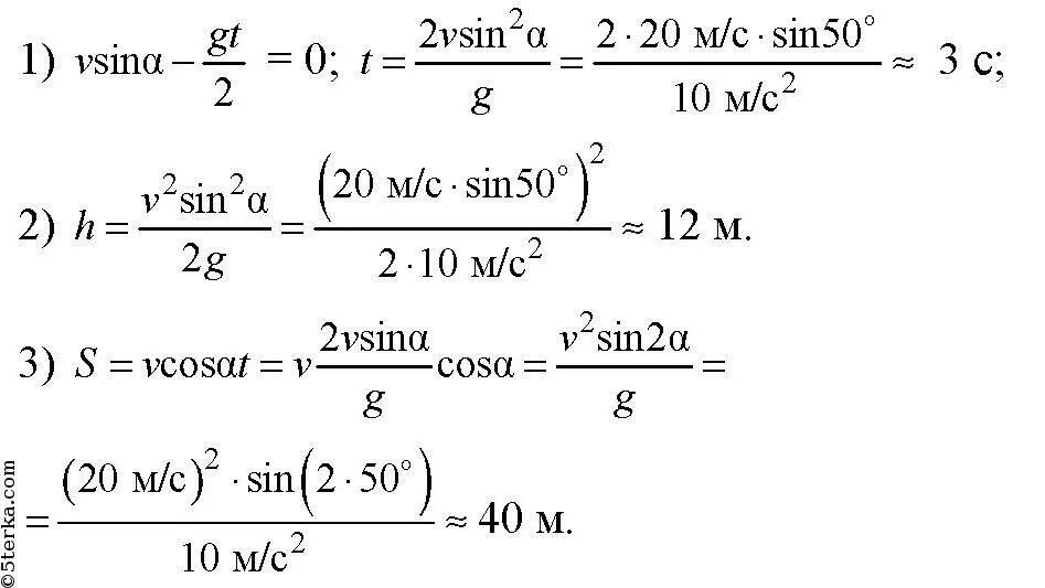
Как изменятся время и дальность