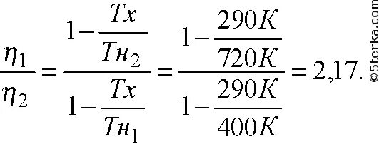
Как изменится кпд теплового двигателя