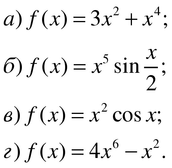
Как доказать что функция нечетная