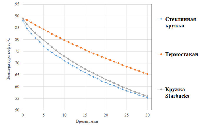
Как быстро остыть