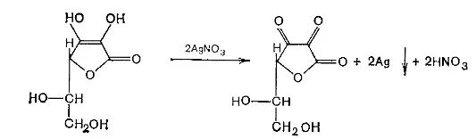
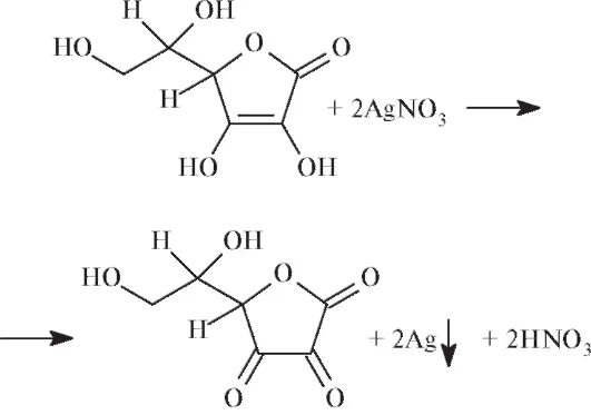
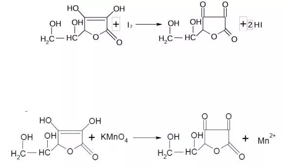
Качественная реакция на аскорбиновую кислоту