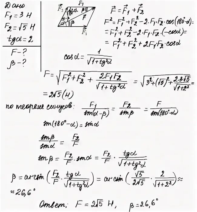
К телу приложены 2 горизонтальные силы