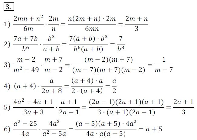
К 2 рациональные дроби вариант а2