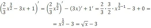
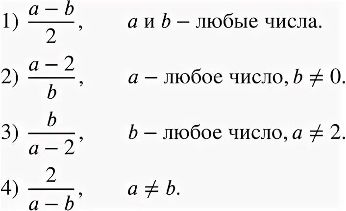
Известно что какие значения может принимать выражение