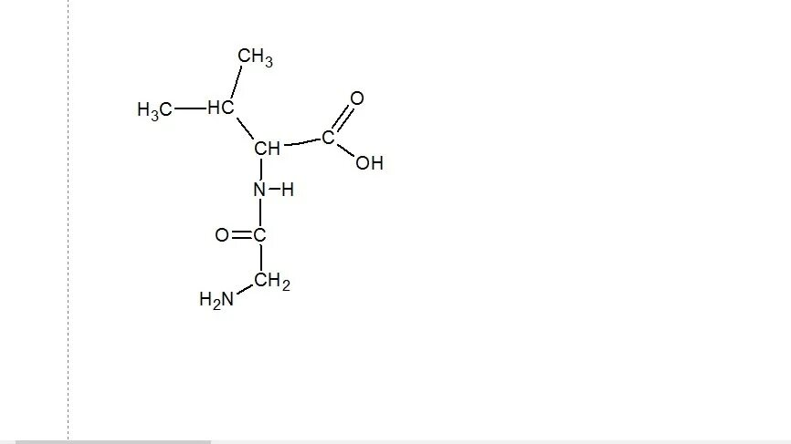
Изомером 3 метилбутановой кислоты является