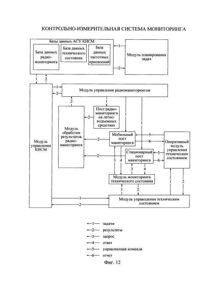
Измерительная система мониторинга