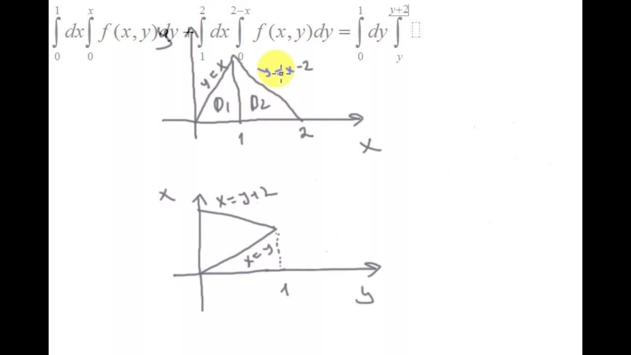
Изменить порядок интегрирования в интеграле примеры