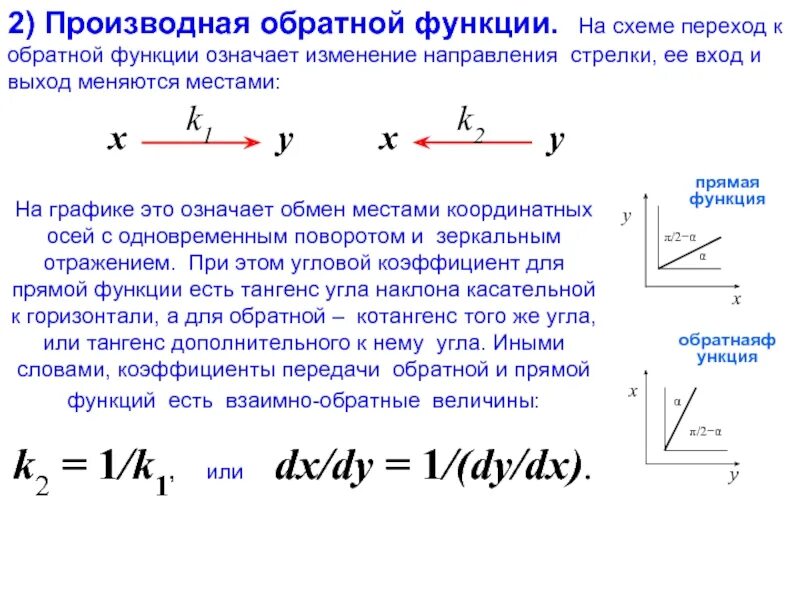
Изменение направления на обратное