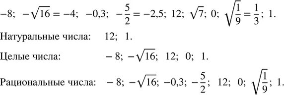
Из данных чисел 8 2.1 7 0.2025020002