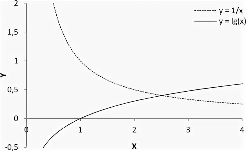
Итерационный метод решения нелинейной