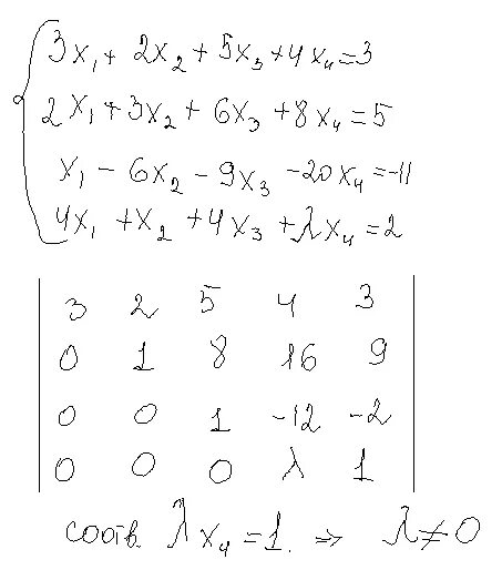
Исследовать систему и найти общее решение