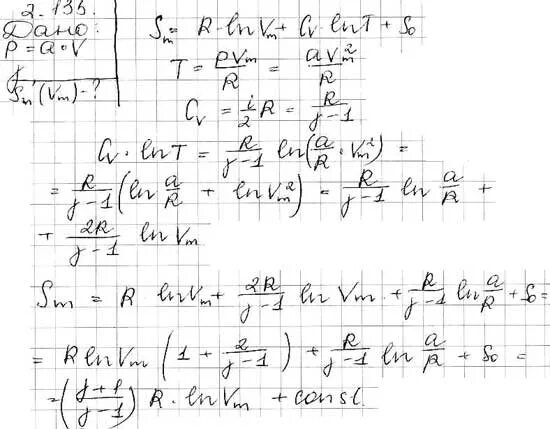
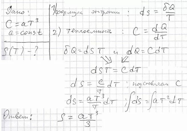
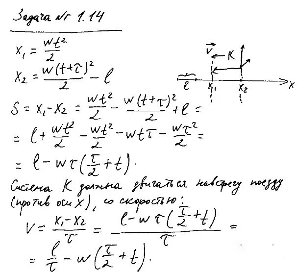
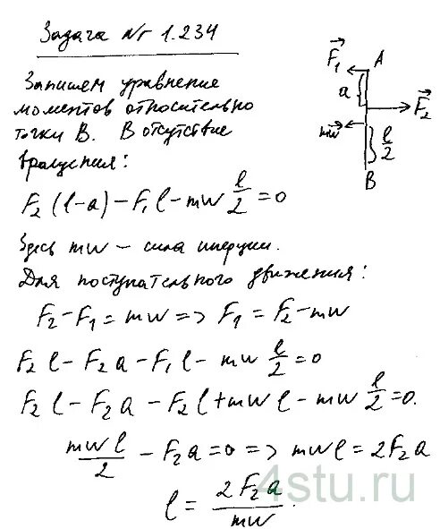
Иродов общая физика