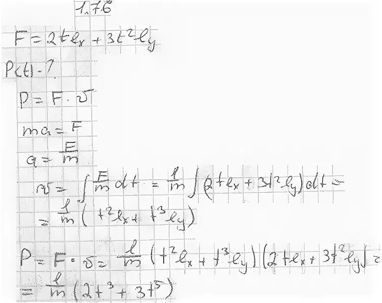
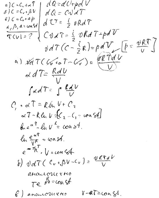
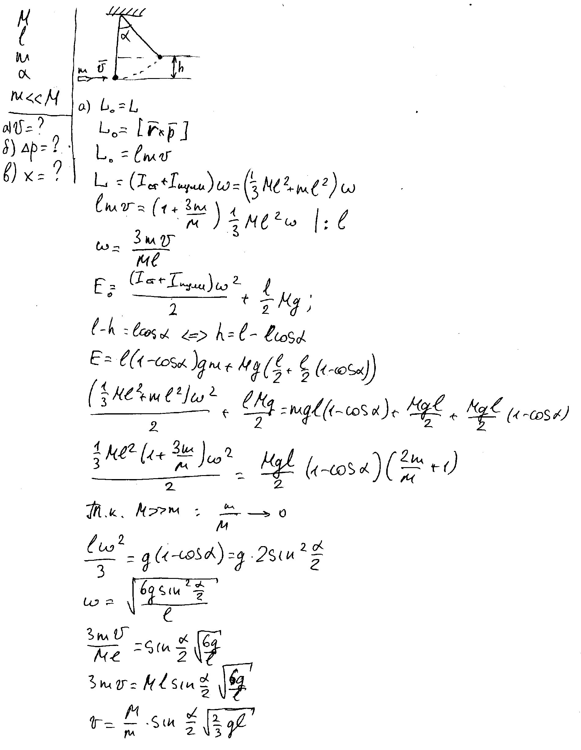
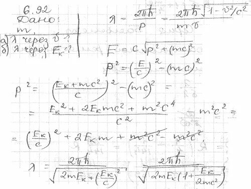
Иродов м и