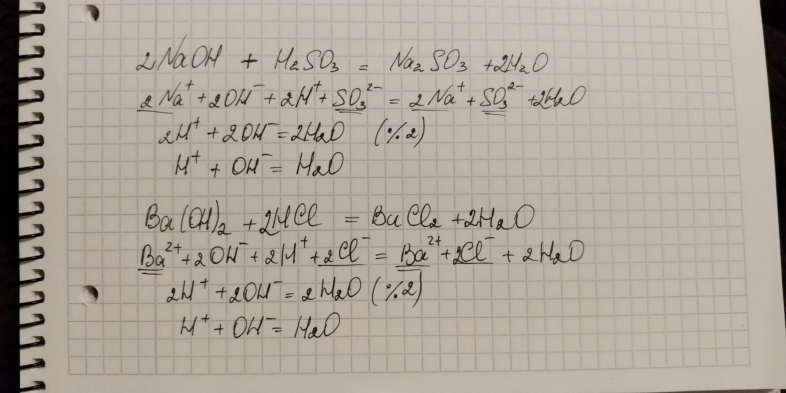
Ионное уравнение реакции н он н2о