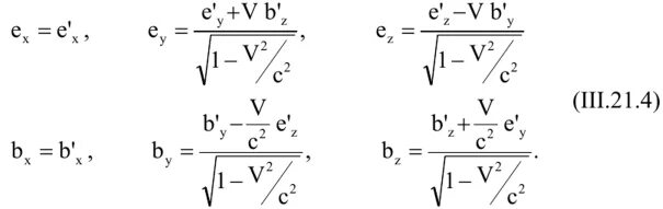
Инвариантами теории относительности