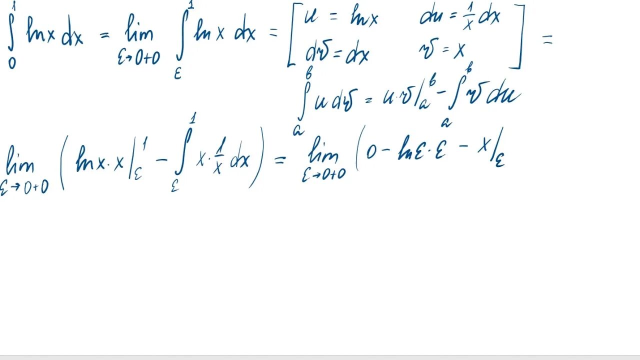
Интегрирование логарифма