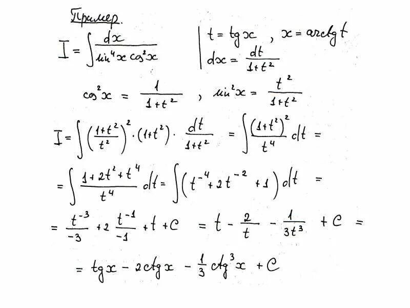
Интегральные функции одной переменной