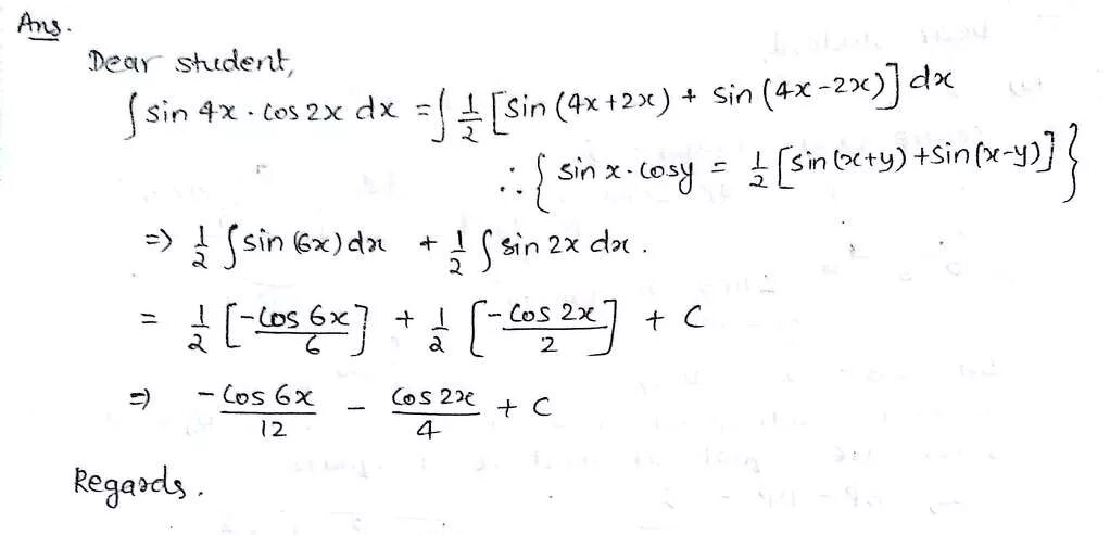
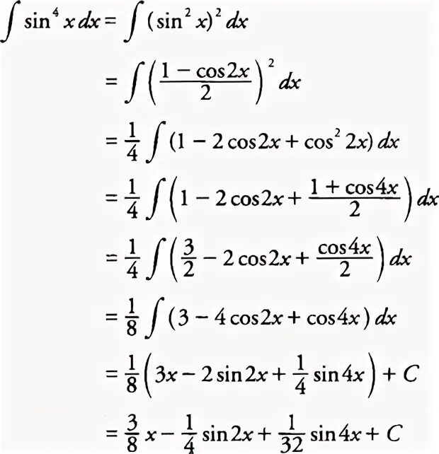
Интеграл sin 4x