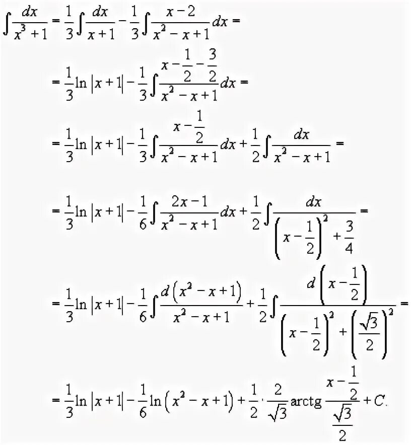
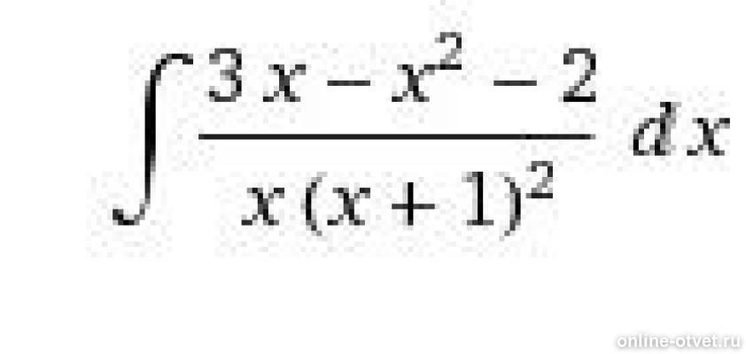
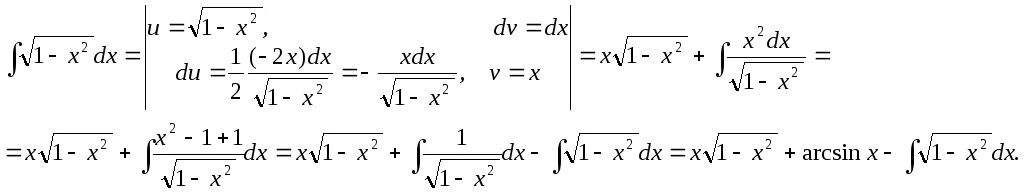
Интеграл от дробно рациональной функции