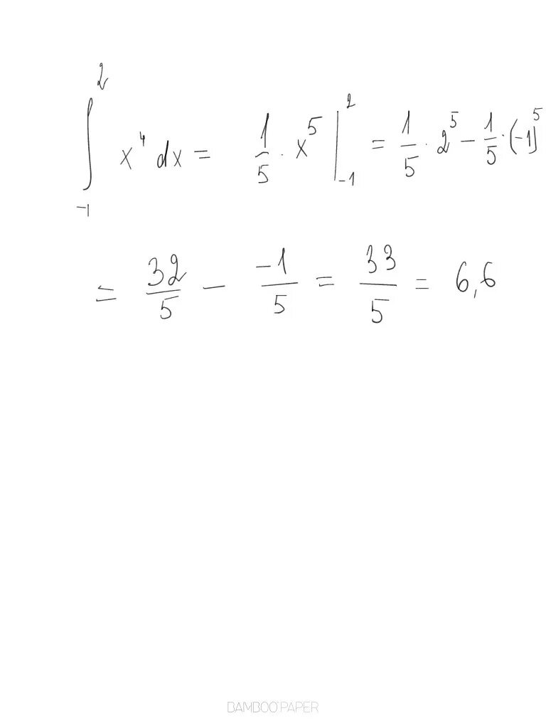
Интеграл от 4x