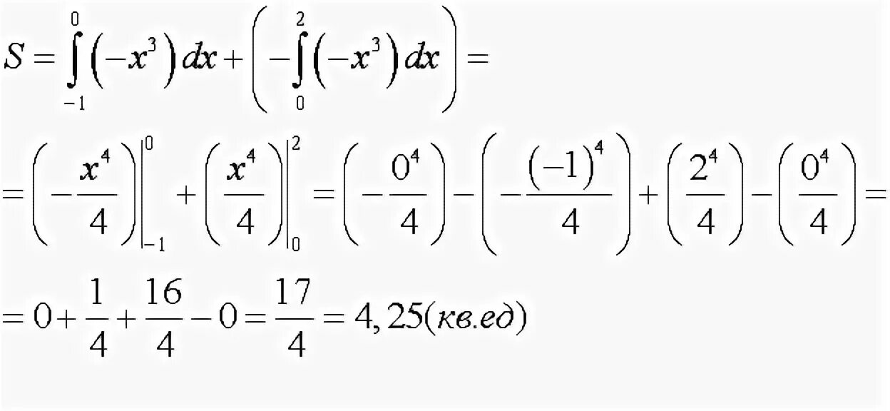
Интеграл может быть отрицательным