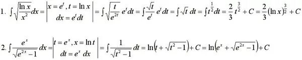
Интеграл d x d x равен