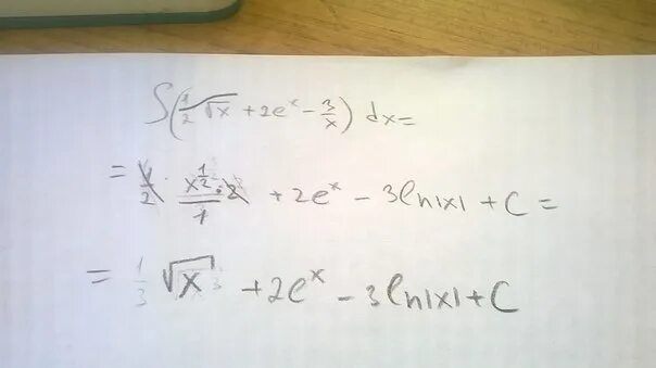
Интеграл 1 2 e x